Schnitzler-Mikrofilme Logo
  • Info
    • Über das Projekt
    • Zitiervorschlag
    • Benutzungshinweise
    • Schnitzler am ACDH-CH
  • Blättern
  1. Blättern
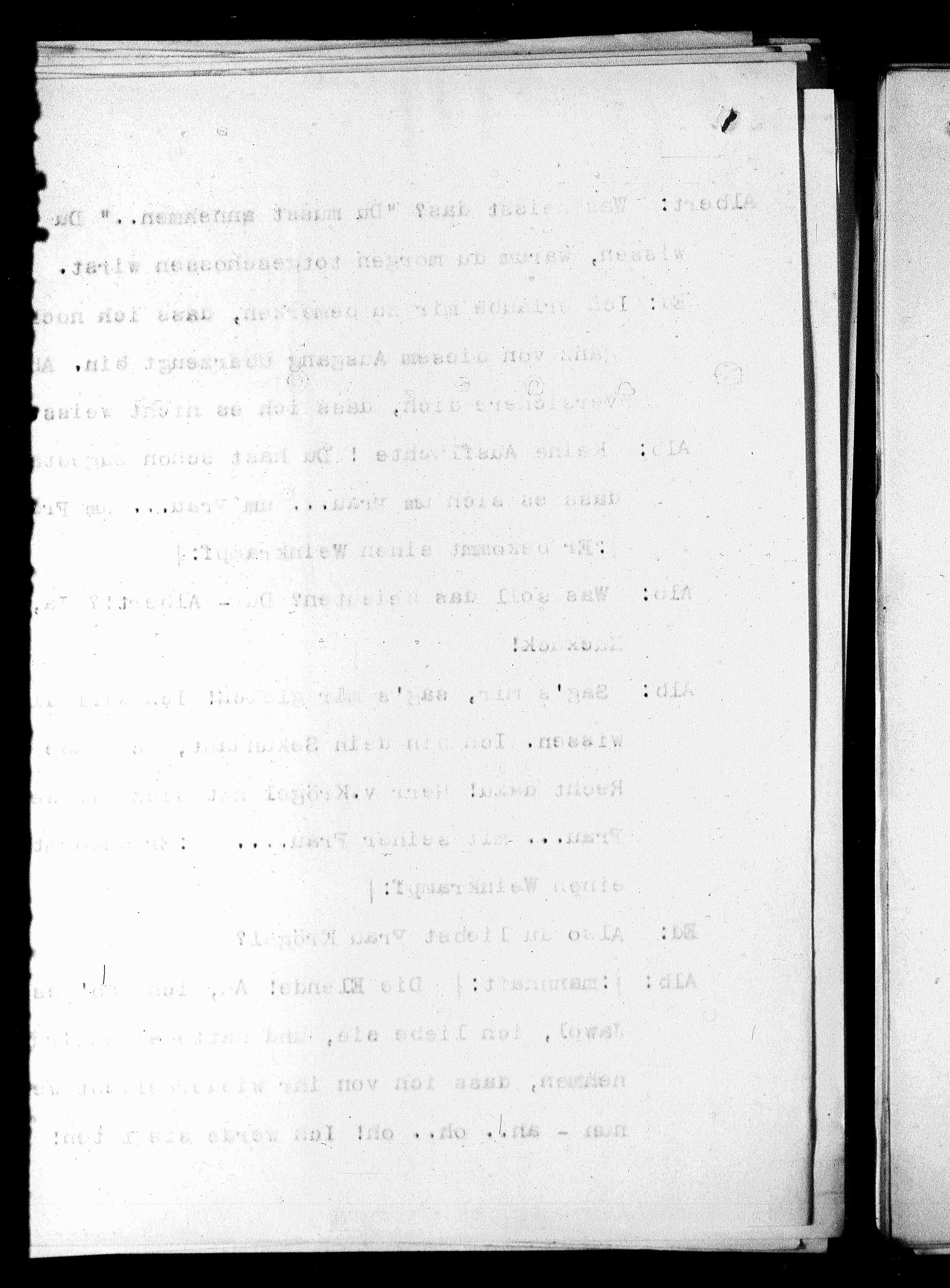
  2. A87: Zum großen Wurstel. Burleske in einem Akt (Marionetten)
  3. Seite 219

A87: Zum großen Wurstel. Burleske in einem Akt (Marionetten), Seite 219

remercier dans
G.C.H.F.H:D:H:H
G.C.H.F.P.K.
G.C.H.G.K.P.
mais dans les
- "
G.H.F.K.
G.F.P.
Jurid 1 1/2 oi lA
G.C.H.F.P
cet.
xV ltot aasb,nemm
Mo.
e e
5.

Zitiervorschlag

A87: Zum großen Wurstel. Burleske in einem Akt (Marionetten), Seite 219, in: Mikroverfilmung des Cambridger Nachlasses. Hg. Peter Andorfer, Martin Anton Müller und Laura Untner, Austrian Centre for Digital Humanities and Cultural Heritage, Wien 2024, https://schnitzler-mikrofilme.acdh.oeaw.ac.at/1428186_0219.html
          KONTAKT
ACDH Logo

ACDH-CH
Austrian Centre for Digital Humanities and Cultural Heritage
Österreichische Akademie der Wissenschaften

Bäckerstraße 13
1010 Wien

T: +43 1 51581-2200
E: acdh-ch-helpdesk(at)oeaw.ac.at

HELPDESK

ACDH-CH betreibt einen Helpdesk mit Rat und Hilfestellung zu verschiedensten Fragen der Digital Humanities.

e-Mail

© Copyright OEAW | Impressum