Schnitzler-Mikrofilme Logo
  • Info
    • Über das Projekt
    • Zitiervorschlag
    • Benutzungshinweise
    • Schnitzler am ACDH-CH
  • Blättern
  1. Blättern
  2. A64: Liebelei. Schauspiel in drei Akten
  3. Seite 62

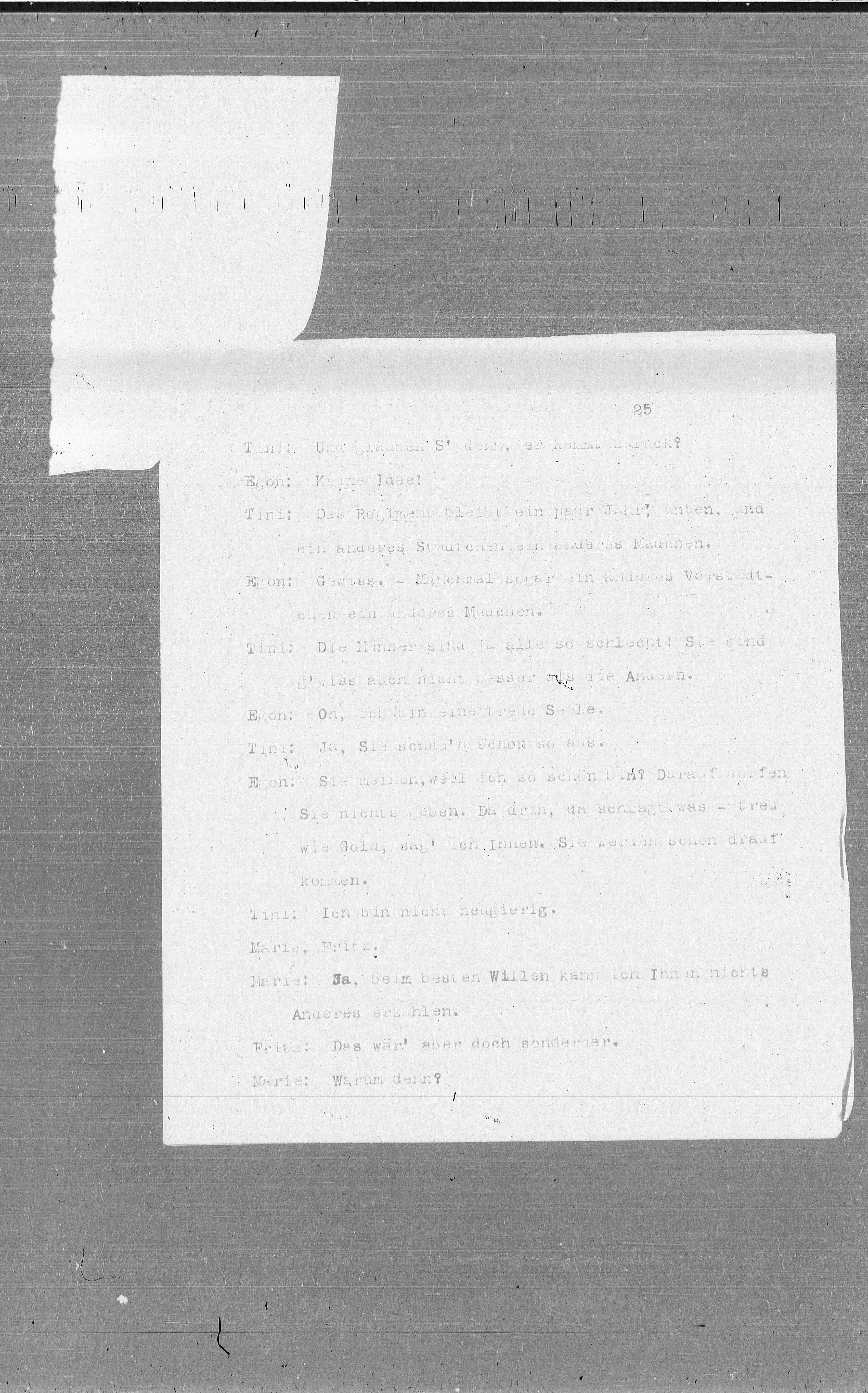
A64: Liebelei. Schauspiel in drei Akten, Seite 62

Gola, sag ich Jauen. 57
Oluen.
Ler bin niche neugierig.
da, beim besien Willen kann
Anueres
aber doch sond
Drs wä-
rim derm2

Zitiervorschlag

A64: Liebelei. Schauspiel in drei Akten, Seite 62, in: Mikroverfilmung des Cambridger Nachlasses. Hg. Peter Andorfer, Martin Anton Müller und Laura Untner, Austrian Centre for Digital Humanities and Cultural Heritage, Wien 2024, https://schnitzler-mikrofilme.acdh.oeaw.ac.at/1589039_0062.html
          KONTAKT
ACDH Logo

ACDH-CH
Austrian Centre for Digital Humanities and Cultural Heritage
Österreichische Akademie der Wissenschaften

Bäckerstraße 13
1010 Wien

T: +43 1 51581-2200
E: acdh-ch-helpdesk(at)oeaw.ac.at

HELPDESK

ACDH-CH betreibt einen Helpdesk mit Rat und Hilfestellung zu verschiedensten Fragen der Digital Humanities.

e-Mail

© Copyright OEAW | Impressum