Schnitzler-Mikrofilme Logo
  • Info
    • Über das Projekt
    • Zitiervorschlag
    • Benutzungshinweise
    • Schnitzler am ACDH-CH
  • Blättern
  1. Blättern
  2. A64: Liebelei. Schauspiel in drei Akten
  3. Seite 67

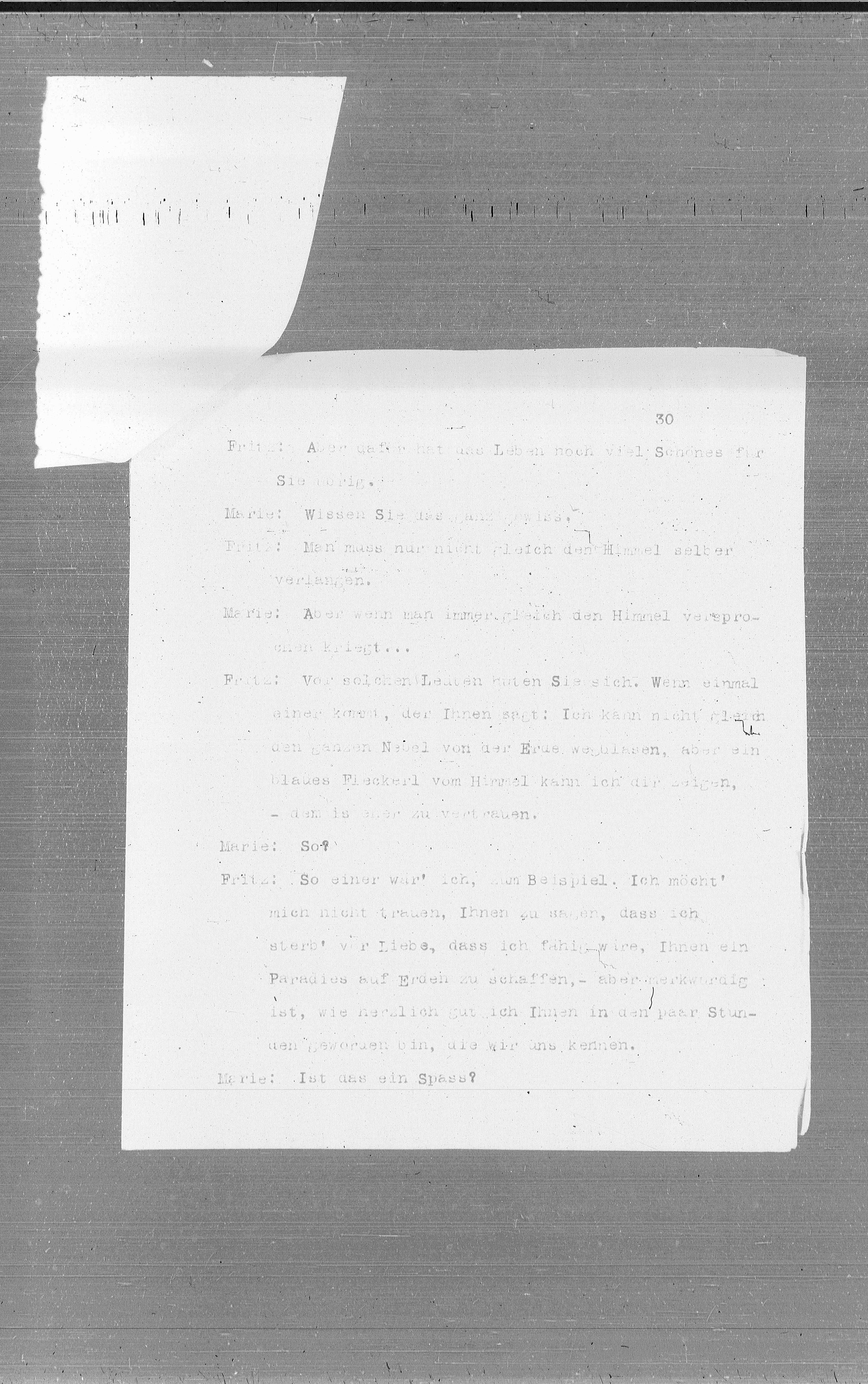
A64: Liebelei. Schauspiel in drei Akten, Seite 67

So eller w
spiel. Ich möcht!
dass ich
6e, dass ich fchi
Paraure
uf Erdeir zu schaffen,
eh. Taten in den
r Stun-
ans kenien.
Ist des sin Spassl

Zitiervorschlag

A64: Liebelei. Schauspiel in drei Akten, Seite 67, in: Mikroverfilmung des Cambridger Nachlasses. Hg. Peter Andorfer, Martin Anton Müller und Laura Untner, Austrian Centre for Digital Humanities and Cultural Heritage, Wien 2024, https://schnitzler-mikrofilme.acdh.oeaw.ac.at/1589039_0067.html
          KONTAKT
ACDH Logo

ACDH-CH
Austrian Centre for Digital Humanities and Cultural Heritage
Österreichische Akademie der Wissenschaften

Bäckerstraße 13
1010 Wien

T: +43 1 51581-2200
E: acdh-ch-helpdesk(at)oeaw.ac.at

HELPDESK

ACDH-CH betreibt einen Helpdesk mit Rat und Hilfestellung zu verschiedensten Fragen der Digital Humanities.

e-Mail

© Copyright OEAW | Impressum